ALEA ET RISQUE SISMIQUE (EGU-GIFT 2013-2017-2022)
|
|
Sismo
box |
Sismomètre |
Origine
des séismes |
Eathquake
prediction |
Resonance |
Resonance
à 3l/4 |
Liquefaction
du sol |
Effet
de site (excentrique) |
|
Effet
de site Grenoble |
Accumulation
d’énergie |
Accumulation
d’énergie |
Murs
porteurs |
Amortisseur
de toit |
Table
vibrante |
On/Off
de la visseuse |
Utilisation
de l’excentrique |
|
|
|
|
|
|
|
||
|
Table
vibrante électronique |
Logiciel
Azimut |
|
|
|
|
|
|
Source: UVED modified
L’aléa
sismique dépend des causes des séismes (géologie globale), de l’occurrence
spatiale et temporelle et de la magnitude. Avec sismo box, on peut montrer
qu’il est possible de prédire la localisation d’un séisme, mais ni son
intensité, ni son occurrence.
Le risque
sismique dépend de l’aléa et desconséquences des séismes sur la vie et les
activités humaines.
Il est diminué par la résistance aux séismes grâce aux constructions
parasismiques et à la résilience face aux dégats qui mesure les capacités à
limiter ses conséquences.
Ce risque dépend des comportements humains et des politiques publiques.
|
|
Comment utiliser et construire la
Sismo-box© FT “do
it yourself”, et découvrir simplement certaines lois scientifiques.
Pour prévenir la population contre le risque sismique, on doit savoir l’emplacement des séismes, quand les séismes peuvent arriver, et avec quelle magnitude. (Où, quand, quelle magnitude)





IV) EQUIPEMENT ADDITIONELPOUR FAIRE UNE TABLE
VIBRANTE 1D-2D
![]()
|


V) COMMENT ET POURQUOI ENREGITRER
LES SEISMES
![]()
|
|
Comment construire un sismomètre ?:

Principe: enregistrer le mouvement relatif du sol par rapport à quelque-chose d’immobile
Les vibrations du sol sont enregistrées grâce au mouvement relatif d’un aimant dans une bobine (induction)
La masse est considérée comme immobile (inertie)et est tenue par un élastique.
Le mouvement de la masse après la vibration doit être amortie par une rondelle se déplaçant dans l’eau.
Matériel: Tube, support en polystyrène, élastique, masse, aimant, récipient avec de l’eau, rondelle, bobine connectée à Audacity, par l’entrée externe et un seul canal.
Expérience: Le polystyrène doit être collé au support (table). Essayez l’efficacité de l’amortisseur en abaissant la masse puis en la lâchant.
Les étudiants peuvent dessiner le système avec 2 couleurs ; une pour ce qui est mobile en cas de séisme, et une autre couleur pour ce qui ne bouge pas en cas de séisme.
Remarque importante: Dans tous les cas, vous devez mettre l’amplification maximale. (Sur certains ordinateurs, l’amplification de la carte son est très faible.

La bobine faite maison peut avoir un nombre réduit de tours : le courant induit est donc faible. Si vous tapez sur la table, vous pouvez enregistrer quelque-chose, mais vous devez amplifier au maximum ou utiliser un autre bobine (Conrad).
Comment construire le
sismomètre par vous-même?
Le polystyrène peut être coupé à la scie sauteuse ou au cutter et collé au pistolet à colle. Câble réseau recyclé.



Le principe d’inertie d’Isaac Newton est utilisé pour comprendre comment une masse attachée à un ressors reste immobile de façon temporaire quand le sol se déplace au cours d’un séisme, et en permet la mesure.
|
Philosophiae Naturalis Principia Mathematica, 1686. Isaac
Newton (1642-1727) AXIOMATA SIVE LEGES MOTUS Lex I: Corpus omne perseverare in statu suo
quiescendi vel movendi uniformiter in directum, nisi quatenus a viribus
impressis cogitur statum illum mutare. Projectilia perseverant in motibus suis
nisi quatenus a resistentia aeris retardantur & vi gravitatis impelluntur
deorsum. Trochus, cujus partes cohaerendo perpetuo retrahunt sese a motibus
rectilineis, non cessat rotari nisi quatenus ab aere retardatur. Majora
autem Planetarum & Cometarum corpora motus suos & progressivos
& circulars in spatiis minus resistentibus factos conservant diutius. http://www.preces-latinae.org/thesaurus/Introductio/Principia.html
|
|
Texte latin de Newton: première
loi du mouvement
Loi
n°1.
Tout corps persévère dans l'état de repos ou de mouvement
uniforme en ligne droite dans lequel il se trouve, à moins que quelque force
n'agisse sur lui, et ne le contraigne à changer d'état.
Initialement formulée par Galilée la formulation moderne devient : Dans un référentiel galiléen,
le centre d’inertie G d’un solide soumis à un ensemble de forces dont la
somme vectorielle est nulle est soit au repos, soit animé d’un mouvement
rectiligne et uniforme (le vecteur vitesse demeure constant).
http://eduscol.education.fr/orbito/orb/meca/meca12.htm
|
|
|
Principe: on tord progressivement un lasagne qui accumule l’énergie jusqu’à la rupture. Une onde apparaît et se propage à partir du point de rupture jusqu’au piézomètre qui l’enregistre. On fait la même expérience en faisant glisser un bloc qui simule le mouvement d’une faille préexistante. Matériel: lasagnes, 1 ou 2 canaux avec Audacity, 1 ou 2 piézomètres. Expérience: Lancez Audacity et cassez la lasagne: La perturbation se propage et stimule le piézomètre qui l’enregistre. Le séisme apparaît autour de la faille: propagation. (le risque existe même loin de la faille). Il y a un amortissement avec la distance. |

Remarque importante:
Avec certains ordinateurs portables, la carte son
n’autorise pas l’acquisition en mode stéréo. Il faut donc acquérir une carte
son externe qui en plus a une meilleure sensibilité. ( Sweex: see below)
Connectez les piézomètres stéréo sur l’entrée Line in de la façade et sélectionnez dans Audacity Entrée liogne (USB multi-Channel) pour activer l’acquisition son par la carte externe.

VII) MESURE DE LA VITESSE DES ONDES SISMIQUES: ![]()
Principe: mesure de la vitesse de propagation dans différents matériaux.
Matériel: 2 canaux dans Audacity, 2 piézomètres, table en bois, béton, polystyrène.
Expérience est faite avec 2 piézomètres et le choc d’une pièce métallique ou d’un crayon (sur le polystyrène)
La mesure se fait en prenant la différence dans le temps d’arrivée de l’onde aux 2 piézomètres et la distance. (vitesse dans le béton ≈3.2 km/s) dans le polystyrène (≈1.2 km/s)

On montre ainsi que la vitesse de propagation des ondes est différente d’un matériau à l’autre, et que plus le matériau est dense, plus la vitesse est élevée.
La vitesse des ondes sismiques peut-être mesurée sur le terrain avec le logiciel Educarte ou le logiciel Sismolog (voir plus loin).
VIII) DETERMINATION DE LA
POSITION D’UN SEISME DU TEMPS D’ARRIVEE ET DE VITESSE DES ONDES: ![]()
2 méthodes pour localiser les séismes proches: demi-plans (qui peut-être utilisée en classe également) et cercle S-P , lorsque l’on connaît la vitesse des ondes en utilisant les logiciels Sismolog ou Educarte.
Utilisation de Sismolog (Chrysis) auteurs Julien FRECHET, François THOUVENOT (LGIT CNRS Grenoble) et le réseau SISMALP. Les problèmes: on ne connaît ni la position du séisme, ni la vitesse de l’onde, ni la localisation. Quand on connaît la position du séisme (méthode des demis-plans), on connaît tout le reste.
|
|
Le premier travail est de déterminer les temps d’arrivée de l’onde P et de l’onde S en pointant ces ondes. Il est assez facile d’avoir le pointage de l’onde P, mais pour l’onde S c’est plus difficile car il y a encore dans la trace le reste des ondes P et des ondes réfléchies localement dans la trace. |
|
La méthode des demi-plans: on trace la médiatrice entre 2 stations et on considère que le séisme se trouve dans le demi-plan de la station ayant perçu l’onde P en premier. En prenant des couples de stations, on détermine un
polygone dans le lequel se trouve le séisme. Le logiciel dessine une ombre dans le demi-plan ne contenant pas le séisme (pas très visible ici) Une fois la position du séisme connue, on peut déterminer la vitesse de l’onde et le t0. Cette
méthode peut être utilisée en classe (voir plus loin) |
|
|
La méthode des cercles est possible quand la vitesse des
ondes P et des ondes S est connue. On doit aussi considérer la profondeur du séisme lorsque le polygone fait par les cercles est grand, ce qui signifie que les distances réelles sont pour grandes que les distances apparentes : les ondes parcourent donc une distance supérieure à la distance parcourue si le séisme était superficiel, ce qui signifie que le séisme est plus profond. |
Mesure de la vitesse des ondes P sur le terrain avec
les séismes proches:
Dans cet exemple, la profondeur de l’épicentre est de 6,51 Km. Chaque station a une altitude propre, un temps d’arrivée de l’onde P, une distance de l’épicentre qui est calculée avec les coordonnées GPS



On observe des variations dans la vitesse sans qu’on
puisse réellement trouver une loi à ce niveau.
Localisation d’un séisme en classe: un choc sur le sol va
simuler un séisme: on ne connaît ni la localisation du choc ni la vitesse de
l’onde dans la classe.
Matériel 5-10 double piézomètres avec un long câble (3-5 mètres pour une salle de classe, qui autorise la mesure dans une classe de 6-10 m)
Un piézomètre est très proche de la source (t0) et les autres sont à une position quelconque dans la classe.
La différence entre les 2 temps d’arrivée de l’onde sont consignés dans un tableau.
Les étudiants ont une carte de la classe sur laquelle les différents piézomètres sont positionnés.
Le logiciel Audacity doit âtre paramétré avec la fréquence d’acquisition maximale (96000 Hz) Edition/ préférence/Qualité.
Localisation
en classe avec des piézomètres: sans synchronisation.

Pas de
synchronisation entre les ordinateurs: nous avons 5
médiatrices pour 5 ordinateurs. Faible précision de la localisation du séisme
avec un grand polygone.

Avec le top-syncho: 50 médiatrices avec 5 ordinateurs. Le signal synchro peut être une petite tension électrique avec un multi-interrupteur artisanal qui doit être déconnecté après juste après le top synchro et avant le choc du marteau..
Remarque : On peut également faire l’expérience sur la table avec un seul ordinateur en choquant toujours au même endroit de la table, mais en déplaçant les piézomètres, repérés sur un plan de la table. Le principe est préservé.
Chaque groupe écrit au tableau le temps d’arrivée de l’onde (différence entre le premier pic et le 2eme )
Sur chaque carte individuelle, les étudiants joignent les stations 2 à 2 et dessinent la médiatrice, puis éliminent le demi plan qui ne contient pas le séisme.
Il peuvent alors déterminer pas à pas, un polygone qui contient le séisme. (précision 30 cm en classe)

Comment construire cette
expérience par vous-même?
Vous pouvez commander ces deux éléments sur le site web http://www.conrad.fr (publicité gratuite)

Vous devez séparer les deux fils de masse enroulés ensemble, et séparer les deux fils collés ensemble.
Soudez les 2 masses des fils aux 2 masses des piézomètres, et les deux fils actifs aux 2 centres des piézomètres. Scotcher les connections pour renforcer.
Localisation de téléséismes: méthode des azimuts pour le séisme du Japon. Logiciel AZIMUT©FT Free
|
|
Après lancement choisissez le langage, puis clic droit, Lecture des pointés, dossier Japon, japon_azimut_vierge, placez le curseur sur l’onde P, et Z pour zoomer, sélection un champ avec la souris d’environ 20 secondes (cliquer-glisser), changez éventuellement l’amplitude du signal en cliquant dans la sélection sur les points les plus hauts et en regardant le vecteur rouge. (dans cet exemple :amplitude de 285) puis mettez le curseur de lecture au début de la sélection (touche Début), cliquez sur le check ‘Tube’ dans la fenêtre gauche du nom de la station, et exécutez la trace : l’extrémité du vecteur résultant apparaît (tube).
Faites de même pour les autres stations (flèche rouge dans la fenêtre des stations sélectionne une station)

|
Après dessin des tubes, il faut placer l’azimut: dans la fenêtre grise en haut à gauche, cliquez sur la coche Az et Paz : un cercle orange apparaît sur la station sélectionnée : 3 touches clavier proches M, %, µ sont utilisées avec la molette de la souris pour changer l’azimut, la taille et la transparence de ce cercle. Le plan orange doit séparer en partie égale les points. Normalement les 3 azimuts des stations indiquent la direction de l’épicentre. |
Localisation des séismes mondiaux: Educarte (freeware) ou Sismolog
Aléat sismique , et si les populations vivent à proximité d’une zone sismique: risque sismique.

Logiciel Educarte (J.L. Berenguer, A.Lomax) Sismicité
mondiale et coupe dans un plan de Benioff.

Logiciel
Sismolog (J.Frechet, F.Thouvenot LGIT Grenoble)
Avec Sismolog, on peut changer la taille de la coupe: les séismes sont projetés sur la ligne médiane. La coupe doit être perpendiculaire au plan de Bénioff, et il est alors possible de mesurer l’épaisseur de la plaque lithosphérique qui correspond à la zone froide sismique.
IX) PREVOIR UN SEISME: OU, QUAND,
COMMENT ? ![]()
|
|
Expérience du patin tracté avec Sismo box « do-it-yourself » (papier de verre, visseuse électrique en faible vitesse de rotation, élastique, bloc de béton cellulaire)
|
|
Expérience du patin tracté (papier de verre, visseuse
électrique en faible vitesse de rotation, élastique, bloc de béton
cellulaire)
|
|
Très
simple matériel pour m’expérience du patin tracté.
Le logiciel
met les bons paramètres à Audacity. Si ça
ne fonctionne pas, mettez à la main les paramètres d’Audacity à 1 canal, 1000
Hz, 16 bits. Durée de l’expérience:
30 second max. (limite imposée par le nombre de points traités par Excel).


A la fin, exportez le fichier .wav, (normalement Audacity fait ceci dans les doc. person. etc…) juste après, Sismo-logic lit ce fichier automatiquement et le converti en fichier Excel, avec les formules et lance Excel.
|
Sélectionnez les
données depuis x jusqu’à « Force » avec «shift» et les flèches et
avec «Ctrl» + «shift» + «End». Revenez en haut de la feuille avec
l’ascenseur et dessinez la courbe “nuage de points”
|
|
Changez la pente et le décalage de la courbe bleue avec les paramètres a_droite et b_droite pour la mettre en bonne position. Il est alors possible de comprendre la différence la courbe théorique et le mouvement effectif.
-Possibilité d’utiliser 2 canaux et de demander l’élève de frapper le 2ème juste avant le mouvement.
-Possibilité de dessiner avec un crayon les différentes positions et de les mettre dans Excel.
-Mesure manuelle du temps séparant deux glissements.
On corréle à l’énergie (l’énergie est proportionnelle au carré de la trace, cf énergie cinétique ½ m*v2
Comment traiter les données pour obtennir la
relation entre l’intervalle de glissement et l’énergie.
Avec Excel :En partant de l’hypothèse intuitive que plus il y a longtemps qu’un séisme a eu lieu, plus l’énergie libérée est forte, on va porter sur un graphe le temps séparant deux mouvements et l’énergie du séisme. S’il y a une corrélation, on devrait voir les points s’organiser selon une droite.
Le principe est d’étudier le tableau de la courbe en escalier (énergie dissipée) et de repérer le moment où débute la marche et la hauteur de celle-ci.
En plaçant la souris sans
cliquer sur la courbe en escalier au moment des ressauts, apparaissent les
informations permettant de retrouver les valeurs du temps dans le tableau
(pointer) et la valeur du ressaut.
|
|
|
|
|
Au survol de la courbe en escalier, Excel nous indique les valeurs du tableau. La première marche a la valeur 2856, et la suivante a la valeur 3522 soit une ressaut d’énergie de 666 qui s’applique au temps 3260. En répétant cette opération autant de fois qu’il y a de marches, il est possible d’avoir les ressauts d’énergie et les moments où ils apparaissent. On place ces valeurs dans une nouvelle feuille de calcul. |

Résultats du traitement énergie-temps séparant deux mouvements.
Il n’y a rien de vraiment apparent, bien qu’il semble se dessiner une sorte de nuage de points.
Bien entendu, et à un autre niveau, un traitement statistique pourrait montrer une certaine corrélation sans qu’il soit possible de prédire quoi que ce soit.
Avec Sismo-logic :

2
A la fin de l’expérience, dans Audacity,
faites Fichier, Exporter, ou Exporter la sélection au besoin.
Après
exportation, le logiciel Sismo-logic détecte la présence d’un nouveau fichier
.wav dans le répertoire fic_sismo_logic\ Audacity\ patin_tracte et affiche
les traces avec un trait rouge devant chaque début de glissement.
|
|
|
Il faut vérifier que le logiciel a correctement
travaillé, et vous pouvez déplacer les traits rouges selon le menu
ci-dessus. Une fois la vérification faite, cliquez sur OK pour poursuive. |
Les données sont traitées automatiquement :
Une courbe apparaît, contenant les traces
du glissement, l’énergie effectivement restituée par le patin (courbe en
escalier), et l’énergie théorique (droite juste au dessus).

Interprétations des courbes de dissipation de
l’énergie. (sismo-logic, Résultats du patin
tracté)
L’énergie libérée par le patin est représenté par la
courbe en escalier (« Somme » des carrés de la trace).
La
« Droite » représente l’énergie théorique (courbe de tendance de la
courbe en escalier, décalée vers le haut)
- On peut caractériser le temps qui sépare deux mouvements.
- les relations entre l’énergie effectivement dissipée par le patin et l’énergie théorique. Notion de retard à l’équilibre.
- la relation entre la magnitude et le retard à l’équilibre.
3
Traitement des données avec Excel : l’accès au fichier se
fait par le click droit, puis Voir le fichier Excel : il faut alors
uniquement faire tracer la courbe par excel.

Les pics violets (en haut) représentent le
« Carré » de la trace.
La courbe de la « Force » est obtenue en
soustrayant l’énergie dissipée à la droite moyenne. On obtient ainsi
l’accumulation d’énergie et sa libération en fonction du temps. On constate
également que le glissement n’est pas proportionnel à la force présente juste
avant.
Traitement des données énergie-intervalle entre
deux glissements.
Le click droit
dans la courbe précédente permet d’accéder aux corrélations :

- On peut, en s’aidant de l’encadré, caractériser la corrélation entre le délai séparant deux séismes et l’intensité du deuxième :
Le logiciel Sismo-logic a calculé le coefficient de
corrélation (en gros la pente de la droite moyenne « Energie
dissipée », « délai entre 2
séismes » . Dans cette exemple le coefficient de corrélation est de
0 .016.
- On peut enfin
discuter de l’hypothèse intuitive que : « plus il y a longtemps
qu’un séisme a eu lieu, plus l’énergie libérée est forte ? »
- Les géologues parlent de période de retour pour indiquer la récurrence de certains séismes.
On peut calculer Sous Excel, la moyenne des temps d’occurrence du glissement du patin.
- On peut également calculer l’écart-type qui mesure la dispersion et qui peut s’exprimer en % : la formule est =ecartypep (ligne de début ;ligne de fin). Le p rajouté signifie petit échantillon.
NB : le champ des lignes est saisi à la souris par un cliquer-glisser après la saisie de la parenthèse ouvrante.
- En refaisant l’expérience plusieurs fois et les calculs, on peut discuter la notion de fluctuation de l’échantillonnage. voir le fichier
- Essai de prévision sismique.
|
2
piézomètres sont nécessaires: le piézomètre gauche va enregistrer le
glissement du patin et le piézomètre droit le moment que vous estimez être juste
avant ce glissement, en tapant brièvement dessus. - Dans sismo-logic, choisissez Audacity pour prédiction patin tracté
(Entrée ligne USB multichannel, 2 voies, 22050 Hz). -
Procédez à l’expérience ci-contre ; le prévisionniste appuie sur son
piézomètre dès qu’il croit que le patin va bouger. |
|
- Le mode de traitement mathématique de ces données n’est pas immédiat, car si le prévisionniste tape toujours au moment où le séisme a eu lieu, on aura une forte corrélation.
Conclusions :
- On peut également faire varier la rugosité, la masse, la raideur du ressort et montrer ainsi que plus le frottement est important, plus l’énergie accumulée est importante, et que plus le sol est élastique plus le retard à l’équilibre est important.
- Dans tous les cas, on peut montrer qu’aucun glissement n’est prévisible, bien qu’on puisse déterminer la période moyenne entre 2 glissements.
- On pourrait penser que de nombreux petits séismes permettent le rattrapage, mais les courbes nous montrent que ce n’est pas vraiment le cas.
-On ne voit pas non plus de signes avant-coureur de gros séismes.
-La conclusion de ce TP est que l’on ne peut prévoir ni l’occurrence du séisme, ni sa magnitude.
-Bien qu’on puisse déterminer, avec une marge d’erreur, la probabilité qu’un séisme se produise dans une région donnée pendant une période donnée, rien ne permet la prédiction d’un séisme : il s’agit donc bien d’un aléa.
X) ETUDE DES CONSEQUENCES DES SEISMES AVEC DES
TABLES VIBRANTES: ![]()
|
|
|
|
Ce sont des expériences de micro-séismes réalisées sur des
modèles de bâtiments permettant de montrer les risques présents dans les
zones sismiques, et la façon de s’en protéger par les constructions
parasismiques.
Les différentes causes des dommages créés par les séismes
peuvent être montrées sur ces modèles fonctionnels comme la résonance, les
constructions de mauvaise qualité, la liquéfaction du sol.
Les solutions adoptées pour résoudre chaque problème sont
aussi modélisées : chaînage, contreventement, fondation flottantes,
pendule dans les étages.
De nombreux problèmes physique sont mis en évidence dans
ces modélisations : résonance, mise à l’échelle, vibration des lames,
énergie potentielle, vitesse des ondes, amortissement des ondes avec la
distance et de nombreux problèmes relatifs aux sciences de la Terre en
particulier en sismologie.
|
|
![]()
![]()

Système experimental:
La
visseuse est placée sur un support fixé à la table par du scotch.
La
fréquence est variable en tournant la vis fixée au collier de serrage.
|
|
|
|
L’angle
de l’excentrique peut-être changé pour faire varier l’amplitude de vibration
qui est obtenue en faisant glisser le bras loin de l’axe de l’excentrique.
Le bras
peut-être fixé à l’excentrique pour être sûr de reproduire la même amplitude
d’une expérience à l’autre (2 petit rectangles en caoutchouc toilés de pneus
de VTT mis en opposition)
La
visseuse est mise en route en montant légèrement la batterie sans la clipser,
et arrêtée en a descendant.
Le
plateau vibrant doit être mis dans la bonne position avant de le scotcher sur
la table.
Taille des bâtiments et résonance, effet de site.
|
(Séisme
de Mexico: même dommages à Mexico qu’au voisinage de l’épicentre: effet de
site)
http://www.palais-decouverte.fr/expos/vst_2k7/vs_2k7/pages/page_s6_seisme.html
|
Pour
comprendre une image comme ci-dessous, dans laquelle on voit les petits
bâtiments tombés (5 étages) et pas les grands (15 étages), il est
nécessaire d’étudier la résonance.
|
Quelles
sont les fréquences présentes dans un séisme?
Le
logiciel Simul_seismes©FT freeware fait la transformée de Fourier
des traces sismiques :
Vous
pouvez accéder à ce logiciel depuis le logiciel
.
Ouvrez le ficher 95090804.ASC (08 septembre95 près de Grenoble) puis click droit /Fourier Total

Sur la
droite, transformée de Fourier de toutes les stations (abscisse: amplitude,
ordonnée: fréquences). Au centre la station sélectionnée.
Cette
transformée de Fourier montre que plus on est loin de l’épicentre du séisme
moins il y a de hautes fréquences
alors que les basses fréquences sont encore présentes (comme le barrissement
d’un éléphant qui peut être entendu très loin grâce à sa richesse en basses
fréquences.
En
conclusion on observe une amplification de certaines fréquences sismiques à
certains endroits (effet de site ou autres phénomènes ?)
Test
de résonance sur la table sismique:
Les
hautes fréquences provoquent la résonance des petits bâtiments et les basses
fréquences celles des bâtiment les plus élevés.
Ce
phénomène n’est pas proportionnel et il dépend de la vitesse de l’onde dans
le bâtiment.
Avec la
visseuse, changez la fréquence et observez l’amplitude de vibration de chaque
bâtiment. L’amplitude de la vibration ne doit pas être trop importante sinon
on provoque l’effondrement du bâtiment si les fondations ne sont pas
suffisamment solides.
2 modes de vibation sont visibles:

|
|

(Les
photos ont été faites avec une faible luminosité et un pied)
Le
second mode est observé pour les hauts bâtiments avec une fréquence élevée.
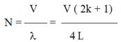
à Pour les lames vibrantes de longueur L avec une extrémité libre et l’autre extrémité fixée, les modes de vibrations en résonance (amplitude maximale) sont telles que :
- Il y a un ventre de vibration à l’extrémité libre.
- L = ( 2 k + 1) l/4
en utilisant la relation l = V T = V / N on en déduit que:

premier
mode : k = 0 , L =
l / 4 , N = V / 4 L,
On observe un nœud et un ventre sur la longueur L
second mode : k = 1 , L = 3 l / 4 , N = 3 V / 4,
on observe : un nœud, un ventre, un nœud, un ventre sur la longueur L.
V=vitesse; N nombre de nœuds; l est la longueur d’onde; k=est un entier représentant le rang de la vibration.
à Si l’extrémité est fixe (corde) alors L = k l / 2 et N = k V / 2 L
Nous réutiliserons cette formule pour l’effet de site.
Evaluer
l’accélération des bâtiments à différents étages: faible amplitude.


|
Des accéléromètres simples: Ils sont constitués de petits
parallélépipèdes en plexiglas de même section mais de hauteurs différentes
qui sont placés à différentes hauteurs sur les bâtiments. Plus
l’accéléromètre est grand plus une faible accélération va le faire tomber. L’échelle de Mercali indique le ressenti de certaines personnes dans les étages supérieurs des bâtiments au cours d’un séisme.
|
l
length of the basis ; h=height ; a=acceleration |
Si vous
placez une masse au sommet d’un bâtiment qui résonne, la vibration est
amortie et la fréquence de résonance diminue. Vous pouvez retrouver la
nouvelle fréquence de résonance en diminuant la fréquence.

Résonance
du sol avec la table vibrante (effet de site)
|
|
|
On met des bâtiments sur un support
flexible simulant des alluvions et possédant sa propre fréquence de
résonance ; en changeant alors la fréquence de vibration on réussit à
faire résonner l’ensemble et à amplifier fortement l’amplitude du mouvement
initial. On applique une vibration
horizontale, et on peut considérer chaque colonne d’alluvions comme une
lame. En réduisant la hauteur des
alluvions on augmente la fréquence de résonance. |
|
Exemple d’effet de site (alluvions de la cuvette Grenobloise)


La réalité (Pierre-Yves BARD
ingénieur et chercheur à Grenoble) a montré que l’amplitude du mouvement est
multipliée par 10-20 à la surface par rapport au substratum rocheux. Si
l’épaisseur des alluvions est grande, la fréque,nce de résonance est basse.
L’image de droite a été créée avec le bruit sismique présent au fond et celui
enregistré à la surface. Les basses fréquences sont amplifiées lorsque
l’épaisseur des alluvions est importante. (couleur
rouge)
L’effet de site a été étudié grâce à un modèle analogique constitué d’une maquette en résine de polyester remplie avec de la gelée d’Agar. Des petits morceaux de nourriture à poissons sont introduits dans la gelée pour visualiser le mouvement. Des films sont réalisés à 2 fréquences différentes, et des images des mouvements extrêmes sont isolées et colorées en vert et rouge. (DEWEZ Ambre ; DUMONT Isabelle ; SERRES Olivia (2010) lycéennes au Lycée Marie Reynoard près de Grenoble)

|
|
|
|
Le bord du bassin résonne aux fréqences plus
élevées.


Résonance des lames:
On effectue la transformée de Fourier des sons produits
par une règle et enregistrée par un microphone ou un piézomètre
Le logiciel Audacity peut dessiner le spectre du signal.
Il faut retrouver la fréquence fondamentale (fréquence pour laquelle on a le
maximum d’amplitude. La règle doit être bien fixée à la table.
Résultats de la réson. d’une règle

La fréquence de résonance n’est pas proportionnelle, mais il est difficile de trouver la réelle loi en raison de l’incertitude sur la mesure de la longueur. Cependant il est assez simple de montrer qu’il n’y a pas inverse-proportionnalité entre la fréquence de résonance et la longueur?
|
Une lame de 50 cm en
aluminium est fixée sur la table et on la fait vibrer avec le pouce. Une
punaise fixée à du scotch partiellement collé à la lame va heurter celle-ci
et le choc est enregistré par un piézomètre. Il devient alors possible de
mesurer la fréquence de vibration de la lame en relation avec la longueur
qui dépasse de la table en comptant le nombre de fois que la punaise heurte
la lame en fonction du temps. Voir ci dessous. Ce système a des limites et fonctionne pour des basses fréquences. La fréquence de résonance propre du système scotch-punaise est suffisamment basse pour ne pas perturber les mesures. |

Comment construire une table vibrante, des
bâtiments et des supports par vous-même?
Le référence de la
visseuse se trouve à la fin de ce document.



2
cales de bois permettent de ne pas scier trop profond

Comment
construire la table vibrante, les bâtiments et supports par vous-même?

Les bâtiments sont construits avec la couverture de
pochettes plastiques, du polystyrène fin, un massicot des aiguilles et de la
colle chaude.





- Vous avez besoin d’une trace sismique 3D pour utiliser ce système, avec un séisme proche.
- Vous devez ensuite convertir cette trace en fichier .wav utilisé par Audacity.
Comment obtenir un fichier .wav d’une trace 3
composante d’un séisme ?
Avec le logciel Sismo-logic exécutez l’ item “Audacity pour table vibrante 1D-2D” et les bons fichiers seront chargés dans Audacity.
Fairs un fichier 3D .wav d’un séisme proche de la
station d’enregistrement.
- Sur le site http://www.edusismo.org prenez le drapeau Français, Données, Sismogrammes sélectionnés, puis Choisir dans la liste, 2010, Valider, 08/07/2010 SSE MANOSQUE (04), click sur l’oeil.
![]()
- Choisissez alors la station NICF station, et téléchargez les 3 composantes Z,N et E.SAC (vertical, nord, est)
![]()
- Vous devez convertir les fichiers .SAC en fichiers .WAV pour Audacity avec le logiciel Seisgram2K.
- Téléchargez Seisgram2K sur http://www.edusismo.org , “Ressources éducatives”, “Accès aux ress. média”.
Dans Seisgram2K Fichier, Sélectionner…, sélection multiple des 3 fichiers avec Shift-click ,puis Ouvrir.
|
|
Les 3 traces
apparaissent dans Seisgram. prenez menu
« Fichier », « Enregistrer actif sous », fichier Wav
dans « Fichier du type »,
puis choisissez un dossier et un nom. Seisgram ajoute “Composante0,
composante1, composante2 », format Wav et PC_INTEL bouton «
Enregistrer ». Seisgram demande quel multiplicateur de fréquence:
choisissez 1 pour la fréquence initiale, ou 2, 3, 4 pour accélérer la
vitesse. Il est parfois nécessaire d’augmenter la fréquence, car certaines
cartes-son ne passent pas les infra-sons (<20 Hz) Vous avez maintenant 3 fichiers Wvqui peuvent lu par Audacity. |
Utilisation de fichiers WAV avec
Audacity,
|
la carte externe Sweex doit être connectée avant le lancement
d’Audacity et les 2 hauts-parleurs placés en face-avant sur le connecteur
2.1 (usage facultatif), |
amplificateur Dynavox avec le bouton
volume au maximum, le bouton des basses aussi et les hauts parleurs
connectés derrière. |
Dans Audacity, menu “Fichier”, “Importer”
sélection multiple avec shift click, manosque_composante1 et 2:
|
|
Cliquez sur la
flèche gauche de chaque trace et mettez la première trace sur le “canal
gauche” et deuxième sur le “Canal droit” Si vous avez une
carte externe vous devez la sélectionner. Choisissez le
maximum d’amplitude pour la sortie Audacity et vérifiez que l’ordinateur
est également au maximum. Mettez le curseur
juste avant le séisme et lisez la trace avec le bouton classique de lecture
(vert). Vous pouvez simuler
différentes magnitudes en changeant l’amplification avec Windows, avec
Audacity, ou le bouton volume de l’ampli Dynavox. |
Lorsque
l’aléa sismique est connu, le risque dépend de la fragilité des bâtiments.
Les systèmes parasismiques permettent de réduire ce risque.
|
Lorsqu’il n’y a pas de murs porteurs, les bâtiments ne peuvent pas résister aux séismes.
|
les étages sont mis les uns sur les autres sans murs porteurs. |
Les murs porteurs doivent aller de bas en haut du bâtiments et être perpendiculaires entre eux

Système
expérimental 3D qui peut être remplacé facilement par la visseuse à
excentrique et de faibles amplitudes de vibration.

L’objectif de ces élèves est de construire des bâtiments
avec des murs et des étages et seulement 4 épingles par étage. Si les murs
porteurs sont parallèles, les bâtiments ne tiennent pas debout à la
vibration, et après différents essais, les élèves conçoivent des systèmes
para-sismiques pour les renforcer.
Ils peuvent tester
leurs bâtiments sur des tables vibrantes.
Fondations
roulantes:

Les
mouvements du sol sont atténués, ce qui est bien visible aux hautes
fréquences mais on peut voir une amplification du mouvement aux basses fréq.
(résonance de l’amortisseur) qui n’est pas l’effet recherché.

source :
http://www.cotita.fr/IMG/pdf/JT_seisme_2012_J2_2_Conception_parasismique_ponts_1_Analyses_V3.pdf
Contreventements
triangulés

Le
modèle de bâtiment doit être construit avec des murs porteurs parallèles et
une épingle par fixation. On peut mettre un poids sur le sommet pour
favoriser l’instabilité. Sans contreventement le bâtiment s’effondre
lorsqu’il est soumis à un séisme. Après le renforcement triangulé, le
bâtiment reste debout.
Liquefaction du sol et fondations.
|
|

Les bâtiments
sont bien construits, mais l’hétérogénéité des fondations provoque leur
basculement.
|
Les
résultats sont meilleurs lorsque les fondations sont réduites à des
segments ce qui est aussi souvent le cas dans la réalité. Il
faut mettre du sable et le mouiller. On observe que l’eau remonte et que le
bâtiment s’effondre si le sous-sol est hétérogène. L’ojectif
des ingénieurs sera de vérifier l’homogénéité du sous-sol.
|
|
XI) TESTER LES SYSTEMES PARASISMIQUES
Lorsque l’aléa sismique est connu le
risque dépend de la fragilité des constructions. Les systèmes parasismiques
diminuent le risque.
|
|

Les murs
porteurs doivent aller de bas en haut du bâtiment et perpandiculaires les uns
aux autres.

|
|

L’objectif de ces étudiants est de
donstruire des bâtiments avec des murs et des étages, et seulement 4 épingles
par étage. Si les murs porteurs ne sont pas parallèles les bâtiments ne
tiennent pas, et après plusieurs essais, il est nécessaire de les renforcer.
Ils peuvent tester leurs solutions sur des tables vibrantes.
Fondations roulantes:
|
|
Le principe est
d’isoler le bâtiment du sol.

Les mouvements du sol sont amortis et
c’est paticulièrement visible dans les hautes fréquences, mais on peut voir
une amplification des basses fréquences (résonance de l’amortisseur) qui
n’est pas l’effet recherché.
|
Denis DAVI CETE
Méditerranée (p75) |
On peut
aisément démontrer (par l’expérimentation) que le système peut être
comparer à un pendule pesant inversé et que la fréquence de résonance peut
être retrouvée par la formule classique.
The
main difficulty is to make the lower half-sphere |
Source:
http://www.cotita.fr/IMG/pdf/JT_seisme_2012_J2_2_Conception_parasismique_ponts_1_Analyses_V3.pdf
Contreventement triangulé
|
|
La construction
n’est pas solide et doit être renforcée avec un système triangulé.
|
|
Le triangle n’est
pas déformable

Le modèle de bâtiment doit être
construit avec une seule épingle par mur et des murs porteurs parallèles.
On peut ajouter un petit morceau de
plomb sur le toit pour favoriser l’instabilité. Sans contreventement, le
bâtiment s’effondre lorsqu’il est soumis à une vibration sismique. Après
renforcement par un contreventement triangulé, il demeure debout.
|
|
|
87th
étage tour de Taipei.
Wikipedia |
Une
petite plaque de polypropylène est percée de 2 petits clous collés. Un
plomb de 75 g passe dans un fil tendu entre les 2 clous. Un élastique
rappelle la masse de plomb à sa position d’équilibre. L’ensemble est fixé en haut du
bâtiment. Lorsque
le bâtiment se déplace, le plomb a tendance à rester immobile. Les
élastiques se tendent et replacent
le bâtiment dans sa position initiale, ce qui limite son mouvement. |
![]()
![]()

Protocole:
on cherche la fréquence de résonance quand la masse est fixée et on évalue
l’amplitude du mouvement, puis on libère la masse et on observe l’amplitude
du mouvement diminuer.
La taille
de la masse a probablement une influence, de même que la rigidité des
élastiques. Les résultats semblent meilleurs avec une petite masse et des
élastiques très souples. Ces paramètres peuvent être testés.
Comment construire
l’amortisseur pendulaire par vous-même?


La fréquence de résonance du bâtiment doit probablement
être très différente de la fréquence de résonance de l’amortisseur. Nous
n’avons pas testé assez pour définir ses meilleures caractéristiques.
Azimut et
XII) MOUVEMENTS DE PART ET
D’AUTRE D’UNE FAILLE
avec le logiciel Azimut: ![]()
Exemple du Japon: lisez tous les séismes du Japon et cliquez sur le premier check général Gn pour avoir le vecteur principal. Quel mouvement en Europe? Le japon est parti sur le pacifique et nous sommes parti dans le sens opposé pourquoi ? L’image ci-dessous montre les mouvements du Japon.


La rotondité de la Terre et la pente de la faille font que
l’Europe a senti d’abord le mouvement de la plaque pacifique. On a la preuve
du mouvement dans 2 sens opposés des blocs le long d’une faille.
Accumulation d’énergie de part et
d’autre d’une faille:
|
|
Simulation de ces mouvements avec 2 blocs, 2 élastiques et la visseuse à excentrique.


|
|
Le moteur
pas à pas tire régulièrement sue le ressort de gauche et l’énergie s’accumule
dans les 2 ressorts jusqu’au glissement. Les deux blocs partent dans deux
directions opposées.

Le logiciel “Mécanismes au foyer” modélise ce phénomène et montre l’ambiguïté des 2 plans de failles possibles enregistrés à la surface et représentés par des quadrants.
XIII) LE LOGICIEL LIBRE AZIMUT© FT
12/2011
Objectifs: Le logiciel montre les mouvements
du sol en 3D à partir des 3 composantes des stations sismiques. Il représente
le vecteur vitesse du sol et les ondes P, S et L grâce au suivi de
l’extrémité du vecteur par des points. L’épicentre peut être déterminé avec
des outils qui utilisent l’extrémité du vecteur vitesse et l’utilisateur
détermine la meilleure direction.
Pourquoi
le séisme du Japon nous a-t-il repoussé, alors que le Japon est parti sur le
Pacifique de plusieurs mètres
Le
séisme de Samoa nous a attiré: quelle en est la cause?
Ce
logiciel est également capable d’enregistrer les mouvements de 2 accéléromètres
et de stimuler une table sismique 1-3D pilotée par 1-3 interface(s) Cassy.
|
|
|
|
Premier mouvement du sol:
dépression temporaire (Samoa) |
Perpendicularité des ondes P et S. 1er
arc pointé. |
|
|
|
|
|
Azimut et compression du sol : Japon (1er arc pointé) |
Perpendicularité des ondes P-S (Extrémité du vecteur pdt qq sec) |
Onde de Love: ondes S horizontales et
perpendiculaires à l’azimut. |
|
|
|
|
|
Détermination de l’épicentre avec h 3 azimuts des ondes P
(10 s). |
Ellipticité des ondes de Rayleigh (P (ondes P de surface
rétro-azimutales) |
Acquisition d’une trace à partir d’un accéléromètre USB. |
Téléchargement
du logiciel Azimut© FT 12/2011
Utilisation du logiciel
Azimut et des capteurs sismiques avec un petit saut dans la lycée.


Au cours du dernier essai nous voyons bien les 3 phases du
saut: la préparation du décollage avec la prise d’élan et un mouvement vers
le bas, puis le décollage avec un mouvement vers le haut et l’atterrissage
plus ou moins synchronisé avec un choc vers le bas plus ou moins synchronisé
et un retour à l’équilibre.

XIV) LES DIFFERENTES TABLES VIBRANTES PEDAGOGIQUES: ![]()
Etude de la résonance des bâtiments et de la résistance
aux séismes.
|
|
La
première table vibrante pédagogique 1D (nov 2005 CERN Genève). Des traces
sismiques réelles sont envoyées à un vibreur relié à une plaque de
polystyrène grâce à l’interface de Leybold et un logiciel dédié
(simul_seismes FT). Une signal
sinusoïdal peut également être envoyé. Les mécanismes de résonance,
Amortissement, liquéfaction du sol etc… peuvent être montrés.
|
|
La table
vibrante 3D consiste en 3 haut-parleurs connectés à 3 interfaces
numérique-analogiques de Leybold, reliées à l’ordinateur. Le signal est une
véritable vibration sismique 3 commposantes envoyées aux interface par le
logiciel AZIMUT.
|
|
Le bâtiment esr un ressort mou à spires jointives ce
qui permet de voir le scisaillement horizontal et les ondes verticales le
parcourir de bas en haut.
|
|
Très simple table vibrante avec une visseuse électrique portable, un
exentrique et un collier de serrage pour maintenir le bouton de vitesse. On
peut donc faire varier la fréquence et l’amplitude de la vibration (pas de
l’excentrique)
Ces expériences simulent les
vibrations sismiques appliquées à des bâtiments en plastique très simples,
plus ou moins bien construits, avec ou sans murs porteurs, chaînés ou non,
avec ou sans fondations, et des systèmes parasismiques.
Il est possible d’étudier la
résonance des bâtiments de différentes hauteurs, la résonance du sol, comme
dans les vallées alluviales en utilisant différents systèmes de vibration, et
un grand nombre d’autres problèmes liés aux séismes.
|
La table vibrante la plus
économique (FT)(0 à
12 €): vibrations sinusoïdales seulement. |
Table vibrante construite avec un
vieil équipement stéréo(FT) (vibrations
sinusoïdales et sismiques) |
|
Première table vibrante pédagogique Science on stage nov. 2005 F.TILQUIN,
G.BAUDRANT (sinusoïdes et sismiques) |
Table vibrante pédagogique 3D (FT) (sinusoïde et sismiques)
|
|
Table vibrante construite avec du matériel
électronique simple (sinusoïdes
et sismiques) (100 €) |
Remarques importantes: En cas d’erreurs ou de critiques veuillez m’écrire à: francois.tilquin.38@gmail.com
Dites moi également si vous avez des difficultés à construire et utiliser la Sismo-box© FT “do it yourself”. Merci. |
Scientifiques: Pierre-Yves BARD (Searcher IFSTTAR), Michel
CARA (CNRS BCSF Strasbourg), Françoise COURBOULEX (CNRS UMR
Geoazur, Valbonne), Francesca CIFELLI (Dipartimento di Scienze Geologiche, Roma
Tre), Filippo
CAMERLENGHI & Lucas MARIANI (Video), Fabrice FINOTTI (Les Films
Associés), François THOUVENOT (CNRS LGIT Grenoble).
Remarque
importante:
Si des
erreurs sont repérées veuillez me prévenir : francois.tilquin.38@gmail.com
Indiquez-moi
aussi vos difficultés à utiliser la SISMO BOX “do it yourself”. Merci..
XV) PRIX POUR CONSTRUIRE LA SISMO BOX “DO IT
YOURSELF” (Avril 2013 en €)
![]()
|
Ref : 952463 Castorama; 2
Polystyrènes extrudé BD 1,25 x 0,60 m ép.20mm ; Unit 1,88 € |
|
3,76 |
|
Réf.
388213 Bricoman 1/3
Moyen sachet Unit:
3.25 € |
|
0,5 |
|
Ref
: 224450 ; Décathlon 2/3 Plomb olive bombée percée CAPERLAN Unit 2,29 €
|
|
1,52 |
|
Ref: 618068; Décathlon 1/8 Zim fluo elastic Unit 2,75E |
|
0,35 |
|
Ref:
1605262 ; Décathlon Unit
4,95E 1/10
Boite assortie gaine |
|
0,5 |
|
Réf : 811345 ; Castorama ¼
Tube IRL tulipé gris. Ø : 16 mm. Long: 2 m. Unit
0,9 E |
|
0,2 |
|
Réf : 811347 ; Castorama ½
Tube IRL tulipé gris. Ø : 20 mm. Longueur : 2 m Unit 1,1 E |
|
0,6 |
|
Réf : 241529 ; Castorama 1/19
Scie cloche 7 lames. Ø 26, 32, 38, 45, 50, 56 et 63 mm. |
|
0,11 |
|
Ref :
3454976259226 Castorama 1/19
3 Lames scie sauteuse 5,99E |
|
0,31 |
|
¾ Réf : 155929 Castorama Sangle
d'arrimage polypropylène avec came à griffes unit 3,26E |
|
3 |
|
1 Cahier classeur Casino 2 .95 E |
|
2,95 |
|
Elastiq, règle, scotch Casino 1,5E |
|
1,5 |
|
1/19 Epingles patafix
elastique 1 E Buro+ 28,5 E 20,85 E |
|
2 |
|
1/4 Sandow 10m
Castorama 8,35 E |
|
2,08 |
|
Réf : 488105 Perceuse
sans fil 12 V HP12CD. 12,9
E |
|
12,9 |
|
Réf : 514160 1/19
Fer à souder 40 W PERFORMANCE POWER PP30SI. Câble
1,50 m. 10E |
|
0,52 |
|
1/19 Tourillon Hêtre 1.5 E Tourillon sapin 10.5 E |
|
1,5 |
|
Réf : 579076 Castorama 0,5
Lot de 2 bandes 100 x 610 mm - assortiment MAC ALLISTER. Unit 9,9E |
|
4,45 |
|
Pitons boulons Tirefond Castorama Vis seau carre |
|
1,5 |
|
Réf : 710318
Conrad 2 Cordons Jack 3.5 Mm Stéréo Droit
K3,5S/1,20 Unit 1,35 1/19 Livr: 8 E |
|
3,12 |
|
Réf
710397 Conrad 2 Transducteurs Céramique Piézo Epz-27Ms44W 190051
unit 0,63 E
|
|
1,24 |
|
Réf : 592896 Castorama 0,5*2
colliers de serrage inox L8 x ø 32 - 52 Unit :3,69 E |
|
1 ,84 |
|
Réf : 154296 Castorama 1/19 Rondelle plate large inox A4. Dimensions : Ø 6 mm. En sécurisac de 28 pièces. 5,62 E |
|
0,3 |
|
Réf : 264156 Castorama 1/19 2 Colle transparente sachet 1kg . Bâtons de colle à chaud. Unit 2*12,8 E |
|
1,34 |
|
Réf : 552384 Castorama Boîte
de rangement Kliker violet 35L. L.57 x l.39 x h.20,5 cm. Capacité
: 35L. |
|
10,9 |
|
Réf : 609755 Castorama Colle époxy rapide SADER. |
|
7,9 |
|
Réf.
: VMP0111 VPC display Plaque
Polypro blanc ¼ Alvéolé 800*1200 Unit 2.03€ |
|
0,5 |
|
Réf :
185106
Conrad 1
Petit aimant-puissant-permanent-PIC-M0805 unité :1,35 € |
|
1,35 |
|
Réf :
242536
Conrad Fil de cuivre peint 0,15 mm incolore Mayerhofer Modellbau |
|
4,8 |
|
|
Sum |
Near 70 € |
|
Réf: 87176; Conrad USB
2.0 carte son externe Sweex. Acquisition stéréo pour la vitesse des ondes
et une bonne amplification des basses fréquences… |
|
39,95 € |
|
Réf :76001 ; Conrad Dynavox mini-amplifier Hi-Fi
CSPA1 silver |
|
39,90 € |
|
Réf: 300237; Conrad 2*High speakers SPEAKA HP 75/90
à 2*12,95 € |
|
25,9 € |
|
Réf :
325090 ; Conrad Connexion RCA / jack, 2 m 4,7 € Pour connecter la carte son à l’amplificateur |
|
4,7 € |
|
|
Somme |
110,45 € |
(s’installe dans \sismobox et se lance par \sismobox\sismo-logic.exe)
Vous pouvez l’executer sur une clé USB en
copiant le dossier \sismobox et en lançant par \sismobox\sismo-logic.exe)
|
1_sismo-logic_ULTRA-LIGHT : logiciel basique avec Audacity portable, qui met les paramètres d’Audacity pour les différentes expériences et qui traite les données de l’expérience du patin tracté. |
1_sismo-logic_ULTRA-LIGHT.zip (98 Mo) |
|
2-sismo-logic_ULTRA_LIGHT_doc : fichiers doc and powerpoint expliquant les différentes expériences et la façon de construire la sismobox « do it yourself » |
2-sismo-logic_ULTRA_LIGHT_doc.zip (219 Mo) |
|
3_sismo-logic_software_azimut :AZIMUT est un logiciel permettant de traiter en 3D les composantes 3D des stations sismiques du réseau Sismos à l’Ecole. |
3_sismo-logic_software_azimut.zip (512 Mo) |
|
4_sismo-logic_dossiers_films : differents films et logiciels permettant d’utiliser la sismobox |
4_sismo-logic_dossiers_films.zip (408 Mo) |
|
5_sismo-logic_softwares_edusismo : 2 logiciel libres Edusismo et Educarte du site Edusismo.org . |
5_sismo-logic_softwares_edusismo.zip (593 Mo) |